Overview

A comparative analysis of solvent cast 3D printed carbonyl iron powder reinforced polycaprolactone polymeric stents for intravascular applications
Jasvinder Singh
Electromagnetic Pulse Sensor
Prof. Neelam Rup Prakash
Time-dependent mechanistic insight into photo-degradation of mixed hydrophobic disperse dyes by magnetically separable nitrogen iron codoped titania under visible light using process variable optimization
Vasundhara Singh
Progress in bioactive surface coatings on biodegradable Mg alloys: A critical review towards clinical translation
Dr. Uma Batra
Technology and Education Inputs for Productivity Enhancement in Garment Manufacturing in the Developing World
Prof. Parveen Kalra
Metamaterial Absorbers for Microwave/THz applications
Arun Kumar Singh , Neena Gupta, Sanjeev Kumar
Electromagnetic Pulse Sensor
Prof. Neelam Rup Prakash
Dynamic, Hydraulic properties of spatially varied pond ash within an ash pond for Reclamation of abandoned/closed ash pond.
Dr S.K Singh
Modelling of barriers encumbering the advancement of processing technologies towards lean manufacturing principles.
Mohit Tyagi
A comparative analysis of solvent cast 3D printed carbonyl iron powder reinforced polycaprolactone polymeric stents for intravascular applications
Jasvinder Singh
Visualization and Assessment of Energy Efficiency Drivers and Solution Practices for Temperature-controlled Supply Chain Operations.
Mohit Tyagi
High-Temperature Corrosion Performance of FeAl-Based Alloys Containing Carbon in Molten Salt
Suresh Chand
Audio-video emotional response mapping based upon Electrodermal Activity
Prof. Parveen Kalra, Prof. Neelam Rup Prakash
Thiophenol amine-based Schiff base for colorimetric detection of Cu2+ and Hg2+ ions
Harminder Kaur
Synthesis, structural elucidation, and catalytic activity of bimetallic rhenium-tin complexes containing Schiff base ligand
Harminder Kaur
Self-Switching Device (SSD) as Terahertz/Microwave detector
Arun Kumar Singh , Neena Gupta, Sanjeev Kumar
Acidic ionic liquids: an alternative to HF for {001} reactive facet-controlled synthesis of anatase titania
Vasundhara Singh
BRIEFBCS: binary robust independent elementary features based fuzzy vault scheme in BCS
Nitin Kumar
IoT Based Accident Prevention, Detection and Alert System using GPS & Heat Mapping of Accident Prone Areas of Chandigarh
Dr. Sanjay Batish
Evaluation of corrosion resistance, mechanical integrity loss and biocompatibility of PCL/HA/TiO2 hybrid coated biodegradable ZM21 Mg alloy
Dr. Uma Batra
Technology and Education Inputs for Productivity Enhancement in Garment Manufacturing in the Developing World
Prof. Parveen Kalra
An auto-tuned droop coefficient-based controller for microgrid system to enhance grid resilience during blackouts
Ajay Kumar
RF MEMS SWITCH FOR HIGH FREQUENCY APPLICATION
Arun Kumar Singh , Neena Gupta, Sanjeev Kumar
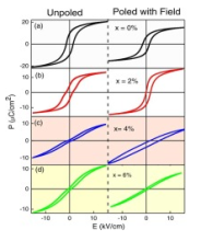
Exotic role of poling protocol on augmentation of magnetoelectricity in BCZT/CNZF layered composites
Sanjeev Kumar
4-Hydroxy Enigmol, a 1-Deoxyphytosphingolipid that Exhibit Good Activity against Prostate and Colon Cancer
Vasundhara Singh
Self-biased characteristics of NZCF/BCZT layered magnetoelectric composites: A novel coupling paradigm in magnetoelectricity
Sanjeev Kumar
Adaptive qXE-LMF Filter for Improving Power Quality Using Grid Supporting Photovoltaic System
Dr. Ajay Kumar
Stubble burn area estimation and its impact on ambient air quality of Patiala & Ludhiana district, Punjab, India
Dr. Har Amrit Singh Sandhu
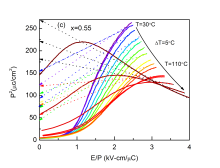
Critical Behavior of Relaxor〖 Pb〗_0.91 La_0.09 (Zr_0.65 Ti_0.35 ) O_3: Interplay between Polar Nano Regions, Electrocaloric and Energy Storage Response
Sanjeev Kumar
Assessing the Role of Virtual Surgical Planning in Mandibular Reconstruction With Free Fibula Osteocutaneous Graft
Prof. Parveen Kalra
Flexible Ag@LiNbO3/PVDF Composite Film for Piezocatalytic Dye/Pharmaceutical Degradation and Bacterial Disinfection
Dr. Gurpreet Singh
Improved Pd/Ru metal supported graphene oxide nano-catalysts for hydrodeoxygenation (HDO) of vanillyl alcohol, vanillin and lignin
Vasundhara Singh
Electric Field Sensor for Electromagnetic Pulse Measurement
Prof. Neelam Rup Prakash
Mathematical depiction of costing perspectives allied with the dynamics of processed food supply chain
Mohit Tyagi
Health Risk Assessment of Gurdaspur, Punjab, India Using Field Experiments and GIS: A Groundwater Perspective
Dr. Har Amrit Singh Sandhu
Evaluation of school backpack prototype-based on gait parameters, energy expenditure and posture of students
Prof. Parveen Kalra
Changes in condylar position after orthognathic surgery and its correlation with temporomandibular symptoms (TMD)- a prospective study
Prof. Parveen Kalra
Dynamic, Hydraulic properties of spatially varied pond ash within an ash pond for Reclamation of abandoned/closed ash pond.
Dr S.K Singh
L Style n-MOSFET Layout for Mitigating TID Effects
Prof. Neelam Rup Prakash
Computational investigation of bioactive 2,3-diaryl quinolines using DFT method: FT- IR, NMR spectra, NBO, NLO, HOMO-LUMO transitions, and quantum-chemical properties
Harminder Kaur
Comparative analysis of radiation tolerant analog circuit layout in 180 nm CMOS technology for space application
Prof. Neelam Rup Prakash
Tribological behaviour of transparent ceramics: A review
Dr. Sandan Kumar Sharma
Investigations of effect of hydroxyl-terminated polybutadiene-based polyurethane binders containing various curatives on thermal decomposition behaviour and kinetics of energetic composites
Vasundhara Singh
Electrochemical Behavior of Aluminum-Molybdenum Surface Composites Developed by Friction Stir Processing
Dr. Mahesh V. P.
Audio-video emotional response mapping based upon Electrodermal Activity
Prof. Parveen Kalra, Prof. Neelam Rup Prakash
Characterization and Quasi-Static Compressive Response Of Closed Cell Al2024-B4Cp Composite Foams and Their Energy Absorption Characteristics
Dr. Jagmohan Datt Sharma
Electromagnetic Pulse Sensor
Prof. Neelam Rup Prakash
GaN HEMTs FOR HIGH FREQUENCY APPLICATIONS
Arun Kumar Singh, Sanjeev Kumar
Depression status identification using autoencoder neural network
Prof. Parveen Kalra, Prof. Neelam Rup Prakash
Electric Field Sensor for Electromagnetic Pulse Measurement
Prof. Neelam Rup Prakash
Flattening of free energy profile and enhancement of energy storage efficiency near morphotropic phase boundary in lead-free BZT-xBCT
Sanjeev Kumar
Structural, morphological, and opto-electrical properties of Y2-xYbxO3 nanoparticles synthesized using co-precipitation method
Dr. Jagmohan Datt Sharma
Flexible Ag@LiNbO3/PVDF Composite Film for Piezocatalytic Dye/Pharmaceutical Degradation and Bacterial Disinfection
Dr. Gurpreet Singh
Multispectral transmission through phoxonic crystal slot-waveguide at midwave infrared frequencies
Jyoti Kedia, Neena Gupta
Visualization and analysis of key performance indicators for agricultural cold supply chain in Indian context using fuzzy DEMATEL approach.
Mohit Tyagi
Assessing the Role of Virtual Surgical Planning in Mandibular Reconstruction With Free Fibula Osteocutaneous Graft
Prof. Parveen Kalra
Flash Spark Plasma Sintering of SiC: Impact of Additives
Dr. Sandan Kumar Sharma, Dr. Pavol Hvizdoš, Dr. Michael J. Reece, Dr. Salvatore Grasso E-mail addresses
Long-Short Term Memory Auto-Encoder based Position Prediction Model for Fixed-wing UAV during Communication Failure
Poonam Saini
A comprehensive review of grid-connected solar photovoltaic system: Architecture, control, and ancillary services
Ajay Kumar
Depression status identification using autoencoder neural network
Prof. Parveen Kalra, Prof. Neelam Rup Prakash
SIFTBCS: scale invariant feature transform based fuzzy vault scheme in biometric cryptosystem
Nitin Kumar
L Style n-MOSFET Layout for Mitigating TID Effects
Prof. Neelam Rup Prakash
Sustainable magnetically recoverable Iridium coated Fe3O4 nanoparticles for enhanced catalytic reduction of organic pollutants in water
Harminder Kaur
Electrochemical detection of herbicide atrazine using porous MnO2-NiO nanocatalyst
Dr. Anu Prathap M. U.
Finite element analysis of dental implant surgical guides
Prof. Parveen Kalra
Transparent glass-nanocomposites possessing piezoelectric ZnO/Zn2SiO4 nanocrystallites for piezocatalytic dye degradation
Moolchand Sharma
Modelling of barriers encumbering the advancement of processing technologies towards lean manufacturing principles.
Mohit Tyagi
Visualization and analysis of key performance indicators for agricultural cold supply chain in Indian context using fuzzy DEMATEL approach.
Mohit Tyagi
Modulation of polar dynamics with oxygen vacancies in Zn doped BaZr0.1Ti0.9O3
Sanjeev Kumar
Long-Short Term Memory Auto-Encoder based Position Prediction Model for Fixed-wing UAV during Communication Failure
Poonam Saini
L Style n-MOSFET Layout for Mitigating TID Effects
Prof. Neelam Rup Prakash
Geospatial survey of sand mines pilot project in Haryana
Dr. Har Amrit Singh Sandhu
Flash Spark Plasma Sintering of SiC: Impact of Additives
Dr. Sandan Kumar Sharma, Dr. Pavol Hvizdoš, Dr. Michael J. Reece, Dr. Salvatore Grasso E-mail addresses
Surface Displacement Analysis of Road-Cut Slopes in the Vicinity of Koteshwar Area, Uttarakhand, India
Dr. Har Amrit Singh Sandhu
Technology and Education Inputs for Productivity Enhancement in Garment Manufacturing in the Developing World
Prof. Parveen Kalra
Bilayer Graphene/HgCdTe Heterojunction Based Novel GBn Infrared Detectors
Arun Kumar Singh , Neena Gupta, Sanjeev Kumar
Finite element analysis of dental implant surgical guides
Prof. Parveen Kalra
Influence of Flat Friction Stir Spot Welding Process Parameters on Quality Characteristics of AA6082Weld
Dr. Rajat Upadhyaya
Ballistic Rectifier for Thermoelectric and Terahertz Applications
Arun Kumar Singh , Neena Gupta, Sanjeev Kumar
Finite element analysis of dental implant surgical guides
Prof. Parveen Kalra
Progress in bioactive surface coatings on biodegradable Mg alloys: A critical review towards clinical translation
Dr. Uma Batra
IoT Based Accident Prevention, Detection and Alert System using GPS & Heat Mapping of Accident Prone Areas of Chandigarh
Dr. Sanjay Batish
Comparative analysis of radiation tolerant analog circuit layout in 180 nm CMOS technology for space application
Prof. Neelam Rup Prakash
3D Printable, injectable Amyloid-based composite Hydrogel of Bovine Serum Albumin-Aloe Vera for Rapid Diabetic Wound Healing
Shilpi Chaudhary
Audio-video emotional response mapping based upon Electrodermal Activity
Prof. Parveen Kalra, Prof. Neelam Rup Prakash
Changes in condylar position after orthognathic surgery and its correlation with temporomandibular symptoms (TMD)- a prospective study
Prof. Parveen Kalra
Transparent glass-nanocomposites possessing piezoelectric ZnO/Zn2SiO4 nanocrystallites for piezocatalytic dye degradation
Moolchand Sharma
Analyzing the thermal, economic, and environmental dynamics of phase change materials used in cold chain applications.
Mohit Tyagi
Electrochemical detection of herbicide atrazine using porous MnO2-NiO nanocatalyst
Dr. Anu Prathap M. U.
Innovations in Electro Chemical Discharge Machining Process through Electrolyte Stirring and Tool Rotations
Dr. Chandrashekhar Jawalkar
Single sample face recognition using deep learning: a survey
Nitin Kumar
Synthesis and Characterization of CoCrFeNi1.75-xTi0.25+x High Entropy Alloy
Suresh Chand
Multispectral transmission through phoxonic crystal slot-waveguide at midwave infrared frequencies
Jyoti Kedia, Neena Gupta
Correlation between the Mechanical and Tribological Properties of Rutile Reinforced LM27 Alloy Composite
Dr. Jagmohan Datt Sharma
A comparative analysis of solvent cast 3D printed carbonyl iron powder reinforced polycaprolactone polymeric stents for intravascular applications
Jasvinder Singh
Analyzing the thermal, economic, and environmental dynamics of phase change materials used in cold chain applications.
Mohit Tyagi
Chemical engineering at morphotropic phase boundary: Interplay with thermally stabilized ultra-high energy storage and electrocaloric response
Sanjeev Kumar
Fluorine-containing 2,3-diaryl quinolines as potent inhibitors of methicillin and vancomycin-resistant Staphylococcus aureus: Synthesis, antibacterial activity and molecular docking studies
Harminder Kaur
Innovations in Electro Chemical Discharge Machining Process through Electrolyte Stirring and Tool Rotations
Dr. Chandrashekhar Jawalkar
Long-Short Term Memory Auto-Encoder based Position Prediction Model for Fixed-wing UAV during Communication Failure
Poonam Saini
Recognition of Bovine Hemoglobin Protein on Molecularly Imprinted Polymer Surfaces using Nonlinear Vibrational Spectroscopy
Shilpi Chaudhary
Mathematical depiction of costing perspectives allied with the dynamics of processed food supply chain
Mohit Tyagi
Comparative analysis of radiation tolerant analog circuit layout in 180 nm CMOS technology for space application
Prof. Neelam Rup Prakash
Electric Field Sensor for Electromagnetic Pulse Measurement
Prof. Neelam Rup Prakash
To Study Impact of Array Tilt Angle, Orientation, and Inverter arrangement on Power Output of Rooftop Solar PV Panels for Chandigarh.
Prof. Tarlochan Kaur (PI) , Dr. Poonam Saini (CO-PI)
Sn coated Fe3O4 nanoparticles for selective and efficient oxidation of anthracene to anthraquinone
Harminder Kaur
Novel Vanillin-based hybrids inhibit quorum sensing and silences phenotypical expressions in Pseudomonas aeruginosa
Vasundhara Singh
Electrochemical detection of herbicide atrazine using porous MnO2-NiO nanocatalyst
Dr. Anu Prathap M. U.
Simulation of efficient Sn/Pb-based formamidinium perovskite solar cells with variation of electron transport layers
Shilpi Chaudhary
Effect of polar nano region dynamics on pyroelectric energy conversion efficiency of doped BaTiO3
Sanjeev Kumar

Punjab Engineering College (Deemed to be University) imparts quality and socially relevant education in engineering at undergraduate, postgraduate and doctorate levels. Faculty and students of its department are involved in research activities of interest to society and industry. Our curricula derive its strength from the design and project contents.

We strive to strengthen further our research programs as well our relationship with industry by supporting our faculty and students to work on sponsored research and industrial projects and consultancy. We encourage collaborative programs, which enhance interaction of our faculty and students with industry.

Sponsored projects, In-house projects, consultancy and collaborations with industry and academia are important modes through which our faculty and students contribute towards knowledge and technology. Our institute provides financial assistance to its faculty and students to present the outcome of their research projects in national and international conferences in India and abroad. Our faculty engaged in helping society offers short term courses as well training programs for industry, institutes and organizations. Office of Dean Sponsored Research & Industrial Consultancy provides administrative and managerial support for the operation of Sponsored research, In-house Projects, Consultancy and other activities of the institute. It promotes and manages Institute-Industry interaction and provides helping hand in establishing collaborative programmes of interest to Institute and Industry. Faculty and students are encouraged to take up hands on industrial problems as consultancy projects to enrich their problem solving skills.

The institute website provides information on its resources and activities. It is an opportune moment to invite potential Industries and other academic and research organizations to explore their relation with Punjab Engineering College (Deemed to be University), Chandigarh.