Research Highlights

Electrochemical detection of herbicide atrazine using porous MnO2-NiO nanocatalyst
Dr. Anu Prathap M. U.
Progress in bioactive surface coatings on biodegradable Mg alloys: A critical review towards clinical translation
Dr. Uma Batra
Evaluation of school backpack prototype-based on gait parameters, energy expenditure and posture of students
Prof. Parveen Kalra
Changes in condylar position after orthognathic surgery and its correlation with temporomandibular symptoms (TMD)- a prospective study
Prof. Parveen Kalra
Analyzing the thermal, economic, and environmental dynamics of phase change materials used in cold chain applications.
Mohit Tyagi
Electric Field Sensor for Electromagnetic Pulse Measurement
Prof. Neelam Rup Prakash
Analyzing the thermal, economic, and environmental dynamics of phase change materials used in cold chain applications.
Mohit Tyagi
Visualization and Assessment of Energy Efficiency Drivers and Solution Practices for Temperature-controlled Supply Chain Operations.
Mohit Tyagi
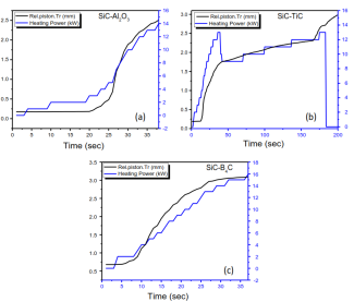
Flash Spark Plasma Sintering of SiC: Impact of Additives
Dr. Sandan Kumar Sharma, Dr. Pavol Hvizdoš, Dr. Michael J. Reece, Dr. Salvatore Grasso E-mail addresses
Modelling of barriers encumbering the advancement of processing technologies towards lean manufacturing principles.
Mohit Tyagi
Electrochemical detection of herbicide atrazine using porous MnO2-NiO nanocatalyst
Dr. Anu Prathap M. U.
Dynamic, Hydraulic properties of spatially varied pond ash within an ash pond for Reclamation of abandoned/closed ash pond.
Dr S.K Singh
Electromagnetic Pulse Sensor
Prof. Neelam Rup Prakash
Sustainable magnetically recoverable Iridium coated Fe3O4 nanoparticles for enhanced catalytic reduction of organic pollutants in water
Harminder Kaur
Structural, morphological, and opto-electrical properties of Y2-xYbxO3 nanoparticles synthesized using co-precipitation method
Dr. Jagmohan Datt Sharma
L Style n-MOSFET Layout for Mitigating TID Effects
Prof. Neelam Rup Prakash
Correlation between the Mechanical and Tribological Properties of Rutile Reinforced LM27 Alloy Composite
Dr. Jagmohan Datt Sharma
Electric Field Sensor for Electromagnetic Pulse Measurement
Prof. Neelam Rup Prakash
A comprehensive review of grid-connected solar photovoltaic system: Architecture, control, and ancillary services
Ajay Kumar
Depression status identification using autoencoder neural network
Prof. Parveen Kalra, Prof. Neelam Rup Prakash
Modelling of barriers encumbering the advancement of processing technologies towards lean manufacturing principles.
Mohit Tyagi
IoT Based Accident Prevention, Detection and Alert System using GPS & Heat Mapping of Accident Prone Areas of Chandigarh
Dr. Sanjay Batish
Geospatial survey of sand mines pilot project in Haryana
Dr. Har Amrit Singh Sandhu
Sn coated Fe3O4 nanoparticles for selective and efficient oxidation of anthracene to anthraquinone
Harminder Kaur
Simulation of efficient Sn/Pb-based formamidinium perovskite solar cells with variation of electron transport layers
Shilpi Chaudhary
Visualization and analysis of key performance indicators for agricultural cold supply chain in Indian context using fuzzy DEMATEL approach.
Mohit Tyagi
Electric Field Sensor for Electromagnetic Pulse Measurement
Prof. Neelam Rup Prakash
Surface Displacement Analysis of Road-Cut Slopes in the Vicinity of Koteshwar Area, Uttarakhand, India
Dr. Har Amrit Singh Sandhu
Fluorine-containing 2,3-diaryl quinolines as potent inhibitors of methicillin and vancomycin-resistant Staphylococcus aureus: Synthesis, antibacterial activity and molecular docking studies
Harminder Kaur
3D Printable, injectable Amyloid-based composite Hydrogel of Bovine Serum Albumin-Aloe Vera for Rapid Diabetic Wound Healing
Shilpi Chaudhary
Transparent glass-nanocomposites possessing piezoelectric ZnO/Zn2SiO4 nanocrystallites for piezocatalytic dye degradation
Moolchand Sharma
Thiophenol amine-based Schiff base for colorimetric detection of Cu2+ and Hg2+ ions
Harminder Kaur
Depression status identification using autoencoder neural network
Prof. Parveen Kalra, Prof. Neelam Rup Prakash
Finite element analysis of dental implant surgical guides
Prof. Parveen Kalra
Visualization and analysis of key performance indicators for agricultural cold supply chain in Indian context using fuzzy DEMATEL approach.
Mohit Tyagi
Multispectral transmission through phoxonic crystal slot-waveguide at midwave infrared frequencies
Jyoti Kedia, Neena Gupta
Self-Switching Device (SSD) as Terahertz/Microwave detector
Arun Kumar Singh , Neena Gupta, Sanjeev Kumar
Single sample face recognition using deep learning: a survey
Nitin Kumar
Recognition of Bovine Hemoglobin Protein on Molecularly Imprinted Polymer Surfaces using Nonlinear Vibrational Spectroscopy
Shilpi Chaudhary
Influence of Flat Friction Stir Spot Welding Process Parameters on Quality Characteristics of AA6082Weld
Dr. Rajat Upadhyaya
Dynamic, Hydraulic properties of spatially varied pond ash within an ash pond for Reclamation of abandoned/closed ash pond.
Dr S.K Singh
Innovations in Electro Chemical Discharge Machining Process through Electrolyte Stirring and Tool Rotations
Dr. Chandrashekhar Jawalkar
To Study Impact of Array Tilt Angle, Orientation, and Inverter arrangement on Power Output of Rooftop Solar PV Panels for Chandigarh.
Prof. Tarlochan Kaur (PI) , Dr. Poonam Saini (CO-PI)
Health Risk Assessment of Gurdaspur, Punjab, India Using Field Experiments and GIS: A Groundwater Perspective
Dr. Har Amrit Singh Sandhu
Self-biased characteristics of NZCF/BCZT layered magnetoelectric composites: A novel coupling paradigm in magnetoelectricity
Sanjeev Kumar
Comparative analysis of radiation tolerant analog circuit layout in 180 nm CMOS technology for space application
Prof. Neelam Rup Prakash
A comparative analysis of solvent cast 3D printed carbonyl iron powder reinforced polycaprolactone polymeric stents for intravascular applications
Jasvinder Singh
Ballistic Rectifier for Thermoelectric and Terahertz Applications
Arun Kumar Singh , Neena Gupta, Sanjeev Kumar
Effect of polar nano region dynamics on pyroelectric energy conversion efficiency of doped BaTiO3
Sanjeev Kumar
Comparative analysis of radiation tolerant analog circuit layout in 180 nm CMOS technology for space application
Prof. Neelam Rup Prakash
Electrochemical Behavior of Aluminum-Molybdenum Surface Composites Developed by Friction Stir Processing
Dr. Mahesh V. P.
Acidic ionic liquids: an alternative to HF for {001} reactive facet-controlled synthesis of anatase titania
Vasundhara Singh
Progress in bioactive surface coatings on biodegradable Mg alloys: A critical review towards clinical translation
Dr. Uma Batra
Improved Pd/Ru metal supported graphene oxide nano-catalysts for hydrodeoxygenation (HDO) of vanillyl alcohol, vanillin and lignin
Vasundhara Singh
Technology and Education Inputs for Productivity Enhancement in Garment Manufacturing in the Developing World
Prof. Parveen Kalra
Investigations of effect of hydroxyl-terminated polybutadiene-based polyurethane binders containing various curatives on thermal decomposition behaviour and kinetics of energetic composites
Vasundhara Singh
Electromagnetic Pulse Sensor
Prof. Neelam Rup Prakash
Metamaterial Absorbers for Microwave/THz applications
Arun Kumar Singh , Neena Gupta, Sanjeev Kumar
A comparative analysis of solvent cast 3D printed carbonyl iron powder reinforced polycaprolactone polymeric stents for intravascular applications
Jasvinder Singh
Flattening of free energy profile and enhancement of energy storage efficiency near morphotropic phase boundary in lead-free BZT-xBCT
Sanjeev Kumar
BRIEFBCS: binary robust independent elementary features based fuzzy vault scheme in BCS
Nitin Kumar
Time-dependent mechanistic insight into photo-degradation of mixed hydrophobic disperse dyes by magnetically separable nitrogen iron codoped titania under visible light using process variable optimization
Vasundhara Singh
Technology and Education Inputs for Productivity Enhancement in Garment Manufacturing in the Developing World
Prof. Parveen Kalra
Long-Short Term Memory Auto-Encoder based Position Prediction Model for Fixed-wing UAV during Communication Failure
Poonam Saini
Technology and Education Inputs for Productivity Enhancement in Garment Manufacturing in the Developing World
Prof. Parveen Kalra
Critical Behavior of Relaxor〖 Pb〗_0.91 La_0.09 (Zr_0.65 Ti_0.35 ) O_3: Interplay between Polar Nano Regions, Electrocaloric and Energy Storage Response
Sanjeev Kumar
Tribological behaviour of transparent ceramics: A review
Dr. Sandan Kumar Sharma
L Style n-MOSFET Layout for Mitigating TID Effects
Prof. Neelam Rup Prakash
Changes in condylar position after orthognathic surgery and its correlation with temporomandibular symptoms (TMD)- a prospective study
Prof. Parveen Kalra
RF MEMS SWITCH FOR HIGH FREQUENCY APPLICATION
Arun Kumar Singh , Neena Gupta, Sanjeev Kumar
Audio-video emotional response mapping based upon Electrodermal Activity
Prof. Parveen Kalra, Prof. Neelam Rup Prakash
Audio-video emotional response mapping based upon Electrodermal Activity
Prof. Parveen Kalra, Prof. Neelam Rup Prakash
4-Hydroxy Enigmol, a 1-Deoxyphytosphingolipid that Exhibit Good Activity against Prostate and Colon Cancer
Vasundhara Singh
A comparative analysis of solvent cast 3D printed carbonyl iron powder reinforced polycaprolactone polymeric stents for intravascular applications
Jasvinder Singh
Synthesis, structural elucidation, and catalytic activity of bimetallic rhenium-tin complexes containing Schiff base ligand
Harminder Kaur
Flexible Ag@LiNbO3/PVDF Composite Film for Piezocatalytic Dye/Pharmaceutical Degradation and Bacterial Disinfection
Dr. Gurpreet Singh
Comparative analysis of radiation tolerant analog circuit layout in 180 nm CMOS technology for space application
Prof. Neelam Rup Prakash
High-Temperature Corrosion Performance of FeAl-Based Alloys Containing Carbon in Molten Salt
Suresh Chand
Audio-video emotional response mapping based upon Electrodermal Activity
Prof. Parveen Kalra, Prof. Neelam Rup Prakash
Long-Short Term Memory Auto-Encoder based Position Prediction Model for Fixed-wing UAV during Communication Failure
Poonam Saini
Stubble burn area estimation and its impact on ambient air quality of Patiala & Ludhiana district, Punjab, India
Dr. Har Amrit Singh Sandhu
An auto-tuned droop coefficient-based controller for microgrid system to enhance grid resilience during blackouts
Ajay Kumar
Novel Vanillin-based hybrids inhibit quorum sensing and silences phenotypical expressions in Pseudomonas aeruginosa
Vasundhara Singh
Chemical engineering at morphotropic phase boundary: Interplay with thermally stabilized ultra-high energy storage and electrocaloric response
Sanjeev Kumar
Assessing the Role of Virtual Surgical Planning in Mandibular Reconstruction With Free Fibula Osteocutaneous Graft
Prof. Parveen Kalra
Multispectral transmission through phoxonic crystal slot-waveguide at midwave infrared frequencies
Jyoti Kedia, Neena Gupta
Adaptive qXE-LMF Filter for Improving Power Quality Using Grid Supporting Photovoltaic System
Dr. Ajay Kumar
Finite element analysis of dental implant surgical guides
Prof. Parveen Kalra
Flexible Ag@LiNbO3/PVDF Composite Film for Piezocatalytic Dye/Pharmaceutical Degradation and Bacterial Disinfection
Dr. Gurpreet Singh
Computational investigation of bioactive 2,3-diaryl quinolines using DFT method: FT- IR, NMR spectra, NBO, NLO, HOMO-LUMO transitions, and quantum-chemical properties
Harminder Kaur
SIFTBCS: scale invariant feature transform based fuzzy vault scheme in biometric cryptosystem
Nitin Kumar
Synthesis and Characterization of CoCrFeNi1.75-xTi0.25+x High Entropy Alloy
Suresh Chand
Evaluation of corrosion resistance, mechanical integrity loss and biocompatibility of PCL/HA/TiO2 hybrid coated biodegradable ZM21 Mg alloy
Dr. Uma Batra
Exotic role of poling protocol on augmentation of magnetoelectricity in BCZT/CNZF layered composites
Sanjeev Kumar
IoT Based Accident Prevention, Detection and Alert System using GPS & Heat Mapping of Accident Prone Areas of Chandigarh
Dr. Sanjay Batish
Mathematical depiction of costing perspectives allied with the dynamics of processed food supply chain
Mohit Tyagi
Finite element analysis of dental implant surgical guides
Prof. Parveen Kalra
Electromagnetic Pulse Sensor
Prof. Neelam Rup Prakash
Innovations in Electro Chemical Discharge Machining Process through Electrolyte Stirring and Tool Rotations
Dr. Chandrashekhar Jawalkar
Flash Spark Plasma Sintering of SiC: Impact of Additives
Dr. Sandan Kumar Sharma, Dr. Pavol Hvizdoš, Dr. Michael J. Reece, Dr. Salvatore Grasso E-mail addresses
Bilayer Graphene/HgCdTe Heterojunction Based Novel GBn Infrared Detectors
Arun Kumar Singh , Neena Gupta, Sanjeev Kumar
Assessing the Role of Virtual Surgical Planning in Mandibular Reconstruction With Free Fibula Osteocutaneous Graft
Prof. Parveen Kalra
Characterization and Quasi-Static Compressive Response Of Closed Cell Al2024-B4Cp Composite Foams and Their Energy Absorption Characteristics
Dr. Jagmohan Datt Sharma
L Style n-MOSFET Layout for Mitigating TID Effects
Prof. Neelam Rup Prakash
Electrochemical detection of herbicide atrazine using porous MnO2-NiO nanocatalyst
Dr. Anu Prathap M. U.
Modulation of polar dynamics with oxygen vacancies in Zn doped BaZr0.1Ti0.9O3
Sanjeev Kumar
Mathematical depiction of costing perspectives allied with the dynamics of processed food supply chain
Mohit Tyagi
Transparent glass-nanocomposites possessing piezoelectric ZnO/Zn2SiO4 nanocrystallites for piezocatalytic dye degradation
Moolchand Sharma
GaN HEMTs FOR HIGH FREQUENCY APPLICATIONS
Arun Kumar Singh, Sanjeev Kumar
Long-Short Term Memory Auto-Encoder based Position Prediction Model for Fixed-wing UAV during Communication Failure
Poonam Saini
Graphical Abstract Title Faculty Name Read More
abstract-image Surface Displacement Analysis of Road-Cut Slopes in the Vicinity of Koteshwar Area, Uttarakhand, India Dr. Har Amrit Singh Sandhu
abstract-image abstract-image Transparent glass-nanocomposites possessing piezoelectric ZnO/Zn2SiO4 nanocrystallites for piezocatalytic dye degradation Moolchand Sharma
Abstract_ECE Bilayer Graphene/HgCdTe Heterojunction Based Novel GBn Infrared Detectors Arun Kumar Singh , Neena Gupta, Sanjeev Kumar
Heat Mapping of  Accident Prone Areas of Chandigarh Heat Mapping of  Accident Prone Areas of Chandigarh IoT Based Accident Prevention, Detection and Alert System using GPS & Heat Mapping of Accident Prone Areas of Chandigarh Dr. Sanjay Batish
abstract-image Sn coated Fe3O4 nanoparticles for selective and efficient oxidation of anthracene to anthraquinone Harminder Kaur
abstract-image To Study Impact of Array Tilt Angle, Orientation, and Inverter arrangement on Power Output of Rooftop Solar PV Panels for Chandigarh. Prof. Tarlochan Kaur (PI) , Dr. Poonam Saini (CO-PI)
abstract-image abstract-image Flash Spark Plasma Sintering of SiC: Impact of Additives Dr. Sandan Kumar Sharma, Dr. Pavol Hvizdoš, Dr. Michael J. Reece, Dr. Salvatore Grasso E-mail addresses
abstract-image Time-dependent mechanistic insight into photo-degradation of mixed hydrophobic disperse dyes by magnetically separable nitrogen iron codoped titania under visible light using process variable optimization Vasundhara Singh
abstract-image Synthesis, structural elucidation, and catalytic activity of bimetallic rhenium-tin complexes containing Schiff base ligand Harminder Kaur
abstract-image Correlation between the Mechanical and Tribological Properties of Rutile Reinforced LM27 Alloy Composite Dr. Jagmohan Datt Sharma